СИСТЕМА ВЕНТИЛЯЦИИ КРЫТЫХ АВТОСТОЯНОК: МОНИТОРИНГ СО, ВЫБОР ДАТЧИКОВ И ТОПОГРАФИЯ УСТАНОВКИ
В последние годы в Москве резко возросли масштабы строительства автотранспортных тоннелей, складских терминалов, а также подземных и крытых автостоянок и соответственно резко увеличилась численность населения города, пользующихся этими сооружениями.
Важным аспектом эксплуатации таких сооружений является обеспечение безопасности людей длительный контакт со средой, отравленной выхлопными газами автомобилей, вызывает общее ослабление организма, продукты сгорания топлива могут стать причиной различных заболеваний.
Традиционно, в качестве индикатора всего набора выхлопных газов автомобилей выступает окись углерода (угарный газ). В п.6.13 СНиП 21-02-99 указано: «В автостоянках закрытого типа следует предусматривать установку приборов для измерения концентрации СО и соответствующих сигнальных приборов по контролю СО, устанавливаемых в помещении с круглосуточным дежурством персонала».
Однако не меньшую опасность представляют оксиды азота (NO2), примерно в 10 раз более опасные, чем угарный газ. Ниже представлена таблица состава автомобильных выхлопных газов.
| Компоненты выхлопного газа |
Содержание по объему, % Двигатели |
Примечание |
| бензиновые |
дизельные |
| Азот |
74,0-77,0 |
76,0-78,0 |
нетоксичен |
| Кислород |
0,3-8,0 |
2,0-18,0 |
нетоксичен |
| Пары воды |
3,0-5,5 |
0,5-4,0 |
нетоксичен |
| Диоксид углерода |
5,0-12,0 |
1,0-10,0 |
нетоксичен |
| Оксид углерода (СО) |
0,1-10,0 |
0,01-5,0 |
токсичен |
| Оксиды азота (NO2) |
0,0-0,8 |
0,0002-0,5 |
токсичен |
Рекомендуется регистрировать и следить за изменениями NO2, если автостоянка кроме бензиновых автомобилей также обслуживает транспортные средства с дизельным двигателем.
В зоне стоянки автомобилей для дальнейшего контроля должны быть измерены следующие параметры:
- СО (оксид углерода) для бензиновых автомобилей
- СО (оксид углерода) и NO2(диоксид азота) для дизельных автомобилей
Число датчиков или точек замеров CO и NO2 зависит от множества факторов, таких как:
- Доступная парковочная площадь стоянки и, как следствие, количество автомобилей, которое может принять автостоянка.
- Загрузка на выездах и въездах на территорию автостоянки, то есть число транспортных средств, ожидающих обслуживания.
- Парковочное пространство, используемое общественным или грузовым автотранспортом.
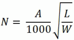
Общее число датчиков, обеспечивающих контроль качества воздуха, может быть примерно вычислено по следующей формуле:
Где N = число датчиков СО или NO2, L = длина автостоянки(в метрах), W = ширина автостоянки (в метрах), А = площадь автостоянки (в квадратных метрах).
Газоанализаторы обязательно размещают возле:
- выездов или въездов в здание;
- мест разгрузки и пандусов;
- касс для оплаты стоянки.
Рекомендуемые типы датчиков и ожидаемая продолжительность жизни сенсора:
инфракрасные (более 10 лет);
электрохимические (более 5 лет);
Система регистрации и мониторинга CO или NO2 в общем случае содержит: газовый контроллер, набор датчиков и устройства оповещения. При этом объединение устройств в единую сеть возможно двумя способами:
- Конфигурация сети – «Звезда»; предполагает подключение датчиков по отдельности к газовому контроллеру и характерна для аналоговых систем.

Конфигурация сети «Звезда» для аналоговых систем
- Конфигурация сети – «с общей шиной»; предполагает подключение всех устройств к единой шине данных и характерна для цифровых систем.

Конфигурация сети «с общей шиной» для цифровых систем
Рекомендации по выбору конфигурации сети:
- Подключение типа «Звезда», если датчиков меньше 20.
- Подключения «С общей шиной», если датчиков больше 20.
Подключение датчиков к общей шине заметно снижает стоимость цифровой системы и значительно облегчает процесс снятия данных и управления датчиками, что в конечном итоге приводит к снижению стоимости по сравнению с аналоговой системой.
Пример датчика для аналоговой системы
|

MSR детектор газа MA-0-1110, MA-2-1130
|
Особенности:
- детектируемый газ CO, NO2;
- диапазон измерений 0-300 ppm, 0-20 ppm;
- тип сенсора: электрохимический;
- стандартный выходной сигнал 4-20 мА;
- простота обслуживания и калибровки;
- защита от перегрузок и обратной полярности;
- долговечность сенсора (более 5 лет);
- низкий дрейф нуля;
- IP65 защищенный корпус;
- рабочая температура от -10 до +50 ?С;
- время реакции t90<50 сек.
|
Пример газового аналогового контроллера
|

MSR аналоговый контроллер MGC-04
|
Особенности:
- применим для мониторинга концентрации CO, CO2, NO, NO2, NH3, O2, SO2, H2S, Cl2, ETO,
легковоспламеняющихся газов и хладагентов;
- функция авто-диагностики, LED-дисплей;
- встроенное аварийное питание;
- пять регулируемых порогов срабатывания оповещения для каждого канала;
- 4 реле оповещения с максимальным напряжением 250В, силой тока 5А;
- аналоговые выходы 4-20 мА;
- IP65 защищенный корпус;
- возможность контроля до 24 аналоговых датчиков.
|
Пример универсального датчика для цифровой системы
|

MSR аналоговый/цифровой датчик ADT-03-1110
|
Особенности:
- детектируемый газ CO;
- диапазон измерений 0-300 ppm (опционально 50 –
2000 ppm );
- тип сенсора: электрохимический;
- цифровая обработка измеряемых значений
с учетом температурной компенсации;
- последовательный интерфейс RS-485 ModBus;
- низкий дрейф нуля;
- долговечный чувствительный элемент, модульная технология сборки, простота обслуживания;
- устойчивость к поляризации, перегрузкам и защита от короткого замыкания;
- выходной аналоговый сигнал с параметрами: (0) 4-20 мА/(0) 2-10В, регулировка перемычкой;
- IP65 защищенный корпус.
|
Пример газового цифрового контроллера
|

MSR цифровой контроллер DGC-05
|
Особенности:
- до 98 точек замера при конфигурации с общей шиной;
- применимость для мониторинга CO, CO2, NO, NO2, NH3, O2, SO2, H2S, Cl2, ETO, легковоспламеняющихся газов и хладагентов;
- функция авто-диагностики, LED-дисплей;
- последовательный интерфейс RS-485 с опцией ModBus;
- пять регулируемых порогов срабатывания оповещения для каждого канала;
- до 30 реле с SPDT, без потенциалов (250В AC, 5А);
- реле неисправности с SPDT, без потенциалов (250В AC, 5А);
- 4 аналоговых выхода от 4 до 20 мА.
|
На рынке существует множество систем приточно-вытяжной вентиляции крытых автостоянок, используемых для снижения или исключения риска отравления. Основная цель подобных систем заключается в том, чтобы обеспечить подачу свежего воздуха в определенном объеме. Хотя такой подход эффективен, однако расходы, связанные с эксплуатацией системы вентиляции, нередко оказываются весьма высоки.
В данной ситуации можно поступить иначе: контролировать уровень СО и регулировать работу системы вентиляции таким образом, чтобы уровень угарного газа находился в допустимых пределах и за счет этого снизить эксплуатационные расходы.
Компания «Энергометрика» предоставляет широкий ассортимент типовых решений для определения концентрации токсичных компонентов выхлопных газов. Приведенные в статье устройства наилучшим образом подходят для формирования системы оповещения, а также регистрации уровня концентрации СО и NO2 в закрытых помещениях.
ООО «Энергометрика»
Тел./ф.: (495) 510-11-04
zakaz@energometrika.ru
http://www.energometrika.ru
|